| 일 | 월 | 화 | 수 | 목 | 금 | 토 |
|---|---|---|---|---|---|---|
| 1 | 2 | 3 | 4 | 5 | 6 | |
| 7 | 8 | 9 | 10 | 11 | 12 | 13 |
| 14 | 15 | 16 | 17 | 18 | 19 | 20 |
| 21 | 22 | 23 | 24 | 25 | 26 | 27 |
| 28 | 29 | 30 | 31 |
- 독서치료자격증
- 독서심리
- 독서심리지도사자격증
- 이상심리학
- 이재연교수
- 독서치료사자격증
- 시치료사
- 문학치료사
- 시치료사자격증
- 청소년심리상담
- 심리상담센터
- 사춘기심리상담
- 심리학아카데미
- 불안장애
- 독서심리치료지도사
- 독서치료사
- 독서심리치료
- 독서심리지도사
- 자녀상담
- 임상심리사
- 독서지도사
- 독서심리치료사
- 심리상담
- 독서심리치료사자격증
- 이상심리
- 심리학도서
- 시치료
- 독서치료
- 문학치료
- 시치료지도사
- Today
- Total
독서심리지도사010-2788-3025
생명체를 구성하는 기본 물질에 대해서 물 탄수화물 지질 단백질 핵산 무기 염류3 본문
생명체를 구성하는 기본 물질
1) 물
2) 탄수화물
3) 지질
4) 단백질
5) 핵산
6) 무기 염류
3대 영양소라고 하면 탄수화물, 지질, 단백질입니다. 이러한 개념들을 배울 것입니다. 인체의 구성 성분비를 살펴보면, 우리 몸에서 몇 프로를 차지할까요? 대략 66%입니다. 근데 사람마다 조금씩 다르니까 그냥 66%라고만 알아두세요. 물 > 단백질 > 지질 > 무기염류 > 핵산 > 탄수화물 순서로 우리 몸을 구성하고 있습니다.



1. 물은 H20입니다.
우리 몸에 가장 많은 양이 바로 물입니다. 물의 구조는 산소에 수소가 2개입니다. 물의 분자는 극성을 띄고 있습니다. 원자 안에는 핵이 있고 주변에는 전자들이 돌고 있습니다. 근데 산소의 양쪽 아래에 날개처럼 수소가 있습니다. 이때 산소가 가운데서 수소를 약간씩 당기고 밀고하는 관계를 맺고 있습니다.
물은 물에 정말 잘 녹습니다. 비슷한 물질들을 잘 녹입니다. 그래서 용해성이 높습니다. 다른 물질들을 정말 잘 날라줍니다. 이온이고 극성물질입니다. 물질 운반하는데 역할과 기능을 합니다. 비열이 높습니다. 비열이라는 것은 현재 온도에서 1도씩 온도를 높이는데 필요한 열량을 바로 비열이라고 합니다. 비열이 높을수록 온도 변화가 적습니다. 이러한 기능으로 체온을 유지할 수 있습니다. 기체로 만드는 것을 기화열이라고 합니다. 표면에 있는 열을 빠르게 기체 화하기 때문에 체온조절에 도움을 줍니다. 이렇게 물은 우리 몸에 중요한 역할을 합니다.



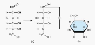
2. 탄수화물은 C,H,O입니다.
근데 탄소, 수소, 산소의 요소가 합쳐져서 탄수화물을 이룹니다. 주 에너지원입니다. 많이 먹어야 바로 에너지원으로 사용되었다가 금방 또 사라집니다. 종류로는 단당류와 이당류 그리고 다당류로 존재합니다.
-단당류: 주에너지원입니다. 물에도 엄청 잘 녹습니다. 단맛이 납니다. 5탄당과 6탄당이 가장 대표 단당류입니다. 5탄당에는 리봇, 디옥시 리보스 뭐 이런 게 있습니다. 그냥 들어두세요. 6탄당에는 포도당, 과당, 갈락토스라는 것이 있습니다.
-이당류: 이당류도 물에 잘 녹습니다. 단맛이 납니다. 엿당, 설탕, 젖당 이런 것들이 바로 이당류입니다. 포도당과 포도당이 합쳐지면 엿당입니다. 포도당과 과당이 합쳐진 게 설탕입니다. 포도당과 갈락토스가 합쳐지면 젖당입니다.
-다당류: 물에 잘 녹지 않습니다. 단맛도 없습니다. 글리코젠이 있습니다. 녹말이 있습니다. 셀룰로스가 있습니다. 글리코젠과 녹말은 저장하는 형태입니다. 글리코젠은 동물에서 녹물은 식물에서 많습니다. 식물의 세포벽에는 셀룰로스가 있습니다.



3. 지질은 C, H, O로 구성됩니다.
지질은 기름성분이라고 생각하면 됩니다. 물에 녹지 않습니다. 유기 용매에 잘 용해됩니다. 에너지 저장하는 기능과 체온을 유지하는 기능합니다. 생체막을 구성하는 기능도 합니다. 지질의 종류는 중성지방과 인지질이 있습니다.
중성지방은 1글 3 지라고 보통 이야기합니다. 글리세롤 1과 지방산 3개가 붙어있는 것이 바로 중성 지방입니다. 피하지방에 지질(지방)이 쌓이면 체온 유지하는데 도움이 됩니다. ㅋㅋ 뱃살을 잡아보세요. 거기가 바로 지질히 쌓여있는 것입니다. 그 뱃살 즉 지질히 많으면 추위를 덜 탑니다. 근데 인지질은 1 글 2 지입니다. 근데 인지질의 꼬리 부분인 지방산은 물을 엄청 싫어하지만 머리 부분인 인산 글리세롤은 물을 좋아합니다. 물을 좋아하는 것을 친수성이라고 하고, 물을 싫어하는 것을 소수성이라고 합니다. 마지막으로 스테로이드의 하나인 콜레스테롤이 바로 지질입니다. 4개의 탄소고리를 가지고 있는 것이 바로 스테로이드 콜레스테롤입니다.



4. 단백질(C, H, O, N, (s))
물 다음으로 많은 양을 차지하는 것이 바로 단백질입니다. 단백질의 기본단위는 아미노산입니다. 단백질은 균육, 효소, 호르몬, 항체, 헤모글로빈의 주 요소가 바로 단백질의 기능입니다. 몸을 구성하려면 근육이 필요합니다. 그리고 몸의 모든 신체적 기능을 생리기능이라고 하는데 이런 모든 기능을 하려면 바로 단백질이 있어야 합니다.

5. 핵산(C, H, O, N, P)
핵산은 유전물질을 이룹니다. 핵산의 기본단위는 뉴클레오타이드입니다. 당을 기준으로 해서 양쪽에 인산과 염기가 붙어있습니다. 당1, 인산 1, 염기 1이 합쳐지면 핵산이 됩니다.

6. 무기 염류의 종류와 기능
무기 염류는 무기물입니다. 물이 바로 무기물입니다. 몸을 구성하기는 하는데 에너지원은 아닙니다. 나트륩은 체액의 성분입니다. 칼슘은 뼈를 구성합니다. 칼륨은 세포의 삼투압, 인은 뼈와 이의 성분입니다. 철은 헤모글로빈의 구성 성분입니다. 아이오딘은 갑상샘 호르몬의 구성 성분입니다.